(IT&Production, 10/2011)
Der Durchsatz von Positioniersystemen in Hochregallagern hängt von der langsamsten Achse der Anlage ab. Wird das Tempo aller Achsen und Zufuhrsysteme an diesen Wert angepasst, lässt sich die Energie optimal verteilen und die Lebensdauer der Anlage merklich erhöhen, ohne den Gesamtdurchsatz der Produktion zu verringern. Gleichzeitig lassen sich Energieeinsparungen von 15 bis 40 Prozent realisieren.
Eine Kette ist immer so stark wie ihr schwächstes Glied. Dieses Sprichwort lässt sich auch auf Förderanlagen in Hochregallagern übertragen: Ein Positioniersystem ist immer so schnell wie seine langsamste Achse. Das heißt, dass der Durchsatz in der Produktion von der Geschwindigkeit der langsamsten Achse der Anlage bestimmt wird. Wenn es gelingt, das Tempo der anderen Achsen genau in dem Maß zu drosseln, dass sie synchron mit der langsamsten am Zielpunkt ankommen, wird die eingesetzte Energie optimal verteilt und durch die schonendere Fahrweise die Lebensdauer der Anlage erheblich verlängert. Und dass, ohne dabei den Durchsatz der Anlage zu verringern.

Genau diese Synchronisation leistet die Energieoptimierungs-Software für Förderanlagen (FLP6000EOS) des Unternehmens PSI Positioning Solutions International Technics (PSI Technics). Die Software ergänzt das Positionierungssystem ARATEC. Industrielle Förderanlagen arbeiten bei entsprechender Auftragslage in der Regel an der maximalen Leistungsgrenze. Gerade in der Automobilproduktion spielen die Taktzyklen der großen Lagersysteme dabei eine zentrale Rolle. Führende Hersteller von Transportern und PKW setzen das System deshalb bereits zur Synchronisation der Taktzyklen in ihrer Produktion ein und arbeiten dadurch deutlich wirtschaftlicher. Zum einen verringert sich durch den Einsatz der Lösung im Automatikbetrieb der maximale Strombedarf im Schnitt um etwa 15 Prozent, die Energieeinsparung kann bei einzelnen Fahrbewegungen sogar bis zu 40 Prozent betragen, zum anderen weisen Antriebe, Getriebe, Dichtringe und Umrichter einen wesentlich geringeren Verschleiß auf. Auf dem hart umkämpften Markt macht sich das bezahlt.

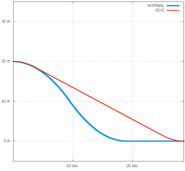
Ein Beispiel aus der Praxis macht das anschaulich: Bei einem Fahrweg von 30 Metern und einer Hubbewegung von 20 Metern ist die Hubachse, wenn beide mit voller Geschwindigkeit bewegt werden, vor der Fahrachse am Ziel und wartet dort. Bei der Optimierung durch das Positioniersystem bewegt sich die Hubachse langsamer und erreicht das Ziel gleichzeitig mit der Fahrachse. Da das Verhältnis von Geschwindigkeit zu Energieverbrauch etwa proportional ist, verringert sich der Strombedarf durch die reduzierte Geschwindigkeit der Hubachse erheblich. Messungen ergeben, dass die Stromspitze der Motoren von 100 Ampere auf rund 65 Ampere sinkt. Eingespart wird dabei die Wartezeit der Hubachse. Die gesamte Fahrzeit beider Achsen verlängert sich nicht, wobei der Durchsatz konstant bleibt.
Das synchrone Eintreffen beider Achsen ist das Ergebnis einer exakten internen Simulation der Fahrbewegung. Das dazu benötigte mathematische Modell wird über den Prozessor der Regeleinheit vollautomatisch ermittelt und läuft ohne Zeitverlust vor jeder Fahrt ab. Da die Software im Hintergrund arbeitet, ist weder eine zusätzliche Hardware noch eine Anpassung an die vorhandene Logistiksoftware notwendig. Die Inbetriebnahme dauert in der Regel lediglich etwa drei Stunden.
ARATEC The Positioning Solution System misst sich am gehobenen Standard ICS5000 und setzt darüber hinaus vor allem auf Integrationsfähigkeit. Die Lösung besteht aus einer Kontrolleinheit mit implementierter Regelungssoftware, einem Distanzmessgerät - in der Regel kommt hier ein Laser zum Einsatz - und den Schnittstellen zur Prozess-Steuerung und zum Antrieb. Die Regelungssoftware ist in der Lage, auch hochdynamische Schwingungen auszugleichen, wie etwa Seilschwingungen bei Hub-Anwendungen.
Das Positionierungssystem ARATEC ist mit allen Antrieben kompatibel und arbeitet als digitales Regelungssystem autark. Sobald die Verbindung zu Prozessrechnern oder Lagerverwaltungssystemen besteht, führt die Kontrolleinheit umgehend deren Befehlsketten aus und kommuniziert dazu über serielle Protokolle oder standardisierte Feldbussysteme. Die komplette Neuinstallation der kombinierten Systemlösung über einen Web-Browser verläuft entsprechend zügig und nimmt höchstens zwei Tage in Anspruch.

Eine weitere Stärke der Optimierungslösung liegt in der Ermittlung des idealen Maschinenmodells. Das System analysiert dazu nicht nur den Antrieb, sondern erfasst auch die Mechanik der ganzen Anlage. Das ermöglicht dem Positioniersystem unter anderem eine Anpassung des Durchsatzes der Fördertechnik an die Gesamtanlagenauslastung. Ist weniger zu tun, läuft das System entsprechend langsamer und damit ressourcenschonender. Statt des üblichen einzeln geregelten Antriebs für jede Achse steuert das Positioniersystem mehrere Achsen dynamisch. Was ARATEC für die ganze Produktionsanlage leistet, macht FLP6000EOS in Bezug auf die einzelnen Achsen: Durch Synchronisation wird die Geschwindigkeit optimiert und dadurch die Effizienz erhöht.
Ein effizienter Einsatz von Ressourcen verschafft Wettbewerbsvorteile. Eine energieeffiziente Prozesssteuerung, die gleichzeitig für geringeren Verschleiß sorgt, trägt zu einer deutlichen Steigerung der Effizienz sowohl der Förderanlagen als auch der angeschlossenen Produktion bei. Alle industriellen Förderanlagen, ob Regalbediengeräte, Hubwerke, Kransysteme, Verschiebewagen oder Aufzüge verschleißen und müssen früher oder später erneuert werden. Hier entsprechende Optimierungspotenziale zu erschließen, um diesen Verschleiß und die Anlagenabnutzung möglichst gering zu halten, macht sich auf Dauer bezahlt. Die Synchronisation von Taktzyklen in der industriellen Produktion ermöglicht die Drosselung der Zyklen, die unnötigerweise unter Volllast laufen, ohne dadurch den Durchsatz der Anlage insgesamt zu verringern. Indem das Positionierungssystem ARATEC und die Energieoptimierungs-Software FLP6000EOS diese Synchronisation vornehmen, tragen sie erheblich zu einer gesteigerten Prozesseffizienz bei.
Kontakt:
PSI Technics
Karl-Heinz Förderer
An der Steinkaul 6a
D-56333 Winningen
Tel.: +49 (0) 2630 91590-0
E-Mail: info@psi-technics.com
Verstehen. Hinterfragen. Konsequent weiterdenken: Das ist unser Kerngeschäft. Wir nutzen unsere langjährigen Kenntnisse sowie modernste Methoden und Techniken um Digitalisierung und Automatisierung individualisiert und pragmatisch in die Wertschöpfungsketten unserer Kunden zu integrieren. So schaffen wir die Basis für Mehrwert – jetzt und in Zukunft.
AUTOMATISIEREN. OPTIMIEREN. QUALITÄT PRÜFEN. ENERGIE EINSPAREN.
Partnerschaften mit Gewinn für alle Beteiligten: Auf der Basis des engen Zusammenspiels des Applikations- und Branchen-Know-how im Bereich IIoT Technology und Industrial Edge, der Siemens-Produkt- und System-Erfahrung und der AWS-Cloud-Expertise entstehen für unsere Kunden maßgeschneiderte Lösungen und damit klare Wettbewerbsvorteile im Markt.Erfahren Sie mehr...
Tauchen Sie ein in die Welt der PSI Technics, dem Kompetenzzentrum für Digitalisierung und Automatisierung. Wir begleiten Ihre technischen und industriellen Prozesse in die Zukunft.
Sie können auch über unsere Kontaktseite einen Termin für Ihre persönliche Guided Tour vereinbaren. Digitalen Showroom jetzt besuchen
Seit dem 21.03.2022 finden Sie uns an unserem neuen Standort An der Steinkaul 6a in 56333 Winningen im Industrie- und Gewerbegebiet "Am Flugplatz". Sehen Sie hier die Highlights des Neubaus
Von Personal- und Führungskräftetrainern längst als "Hidden Champion" unter den Arbeitgebern in Rheinland-Pfalz erkannt, baut PSI Technics sein Team stärker aus. Gesucht werden Informatiker der Bildverarbeitung / Computervisualistik, Software-Ingenieure, Ingenieure der Elektro- / Regelungstechnik und Mechatronik, Techniker sowie Administrationskräfte. PSI Technics bietet für die Region um Koblenz innovative Ausbildung und zukunftssichere, familienfreundliche, flexible Arbeitsplätze. Besuchen Sie unsere aktuellen Stellenangebote
Als Experte auf dem Gebiet der Bildverarbeitung entwickeln wir für Sie individuelle Systemlösungen, die anspruchsvolle Verfahren erfordern. Ihre Aufgabe bestimmt die Technologie: in der Lebensmittelindustrie - zum Film im Schienenverkehr - zum Film in der Automobilindustrie - zum Film in der Rohstoffindustrie - zum Film
Für automatisierte Prüf- sowie Messaufgaben in der Produktion.
Digitale Kamerasysteme ermöglichen mehr Qualität, Produktivität und Sicherheit in Arbeitsprozessen. Mittels automatisierter Sichtprüfungen und intelligenter Methoden zur Bildauswertung werden Produktionskosten drastisch gesenkt und Prozesse in der Qualitätskontrolle optimiert. Die Systeme sind branchenunabhängig einsetzbar, z. B. in der Automobilherstellung, in der Wartung von Schienenfahrzeugen und in der Lebensmittelproduktion. Zum Film
Das ARATEC Positioniersystem ist die innovative Entwicklung von PSI Technics für Positionieraufgaben im industriellen Bereich. Zum Film
Erfahren Sie in einer amüsanten Kurzgeschichte, warum ARATEC die beste Positionierlösung auf dem Markt ist. Film-Version für Anwender von Regalförderzeugen / RegalbediengerätenFilm-Version für Anwender von Kranen / Brückenkranen
Erweiterungsmodul des ARATEC zur Reduzierung von Mastschwingungen an Regalbediengeräten. Der Versuchsaufbau demonstriert, dass Schwingungen mit aktiviertem FLP6000AOC-Modul sehr schnell kompensiert werden oder gar nicht erst auftreten, selbst unter dem Einfluss größter Störungen.
Lassen Sie sich unverbindlich von uns beraten
PSI Technics GmbH
An der Steinkaul 6a
56333 Winningen | Germany
TEL +49 (0) 2630 91590-0
FAX +49 (0) 2630 91590-99
info@psi-technics.com